2019-03-19
钕铁硼的其他物理特性: Br 温度系数 -0.11%/°C 密度 7.4g/cm3 韦氏温度 600Hv 拉伸温度 8.0kg/mm2 比热 0.12k Cak(kg°C) 弹性模量 1.6x1011N/m2 横向变形系数 0.24 居里温度 310-340°C 电阻率 144Ω.cm 挠曲强度 25kg/mm2 热膨胀系数 4x10-6/°C 导热系数 7.7cal/m.h.°C 刚度 0.64N/m2 压缩率 9.8x10-12m2/N iHc温度系数 -0.60%/°C
2019-03-27
如果您需要购买磁铁,请配合我们确认如下信息: 1. 磁铁的材质和性能。 2. 尺寸和相应公差。 3. 是否要充磁, 如果充磁,充磁方向是什么,轴向还是径向,磁极是否需要点标记注明。 4. 磁铁工作环境会达到的最高温度。 5. 需求数量。 6. 磁铁的镀层:镀锌,镀镍,镀金,还是环氧树脂。 7. 是否需要空运,以便我们进行隔磁包装的处理。
2019-03-22
磁铁磁场是一种看不见的磁通量,从磁体的一端移动到另一端。如下图1所示。这种通量是由肉眼看不见的移动或旋转的带电粒子构成的。如果最大工作温度满足要求,永磁体可以保持磁场很长时间甚至永远。磁铁有势能,这意味着它们有保存能量的能力。磁铁在向某物牵引或附着某物时,会显示或释放一定的守恒能量,然后将使用者拉动物体时所消耗的能量保存或储存起来。一个磁体的北面总是被另一个磁体的南面所吸引。
2019-03-19
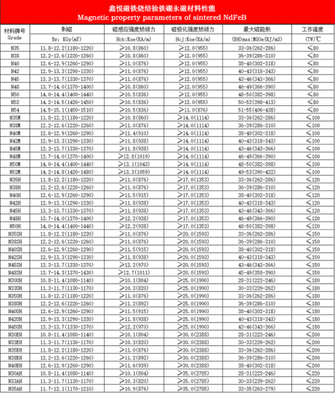
我公司在技术上不断地革新,目前已能生产 N52, N50, N48, N 45M -N 48M , N42H-N48H, N38SH-N42SH, N35UH , N28EH-N33EH 等高性能烧结钕铁硼磁铁。
2019-05-13
铁氧体性能参数表 铁氧体产品的性能从Y15-Y30,同性磁异性磁都有,常用规格都有现货,特殊规格可以切割,也可以开模定做。 铁氧体磁铁应用场所:广泛应用于电表、仪表、电机、自动控制、微波器件、雷达和医疗器械等。
2019-05-16
橡胶磁体是磁粉、合成橡胶材料经特殊工艺复合后,经挤出成型、压延成型、注射成型而制成的具有柔软性、弹性及可扭曲性的磁体。其优点具有可塑性,主要应用于电冰箱门封、饮水机门封、磁性画板玩具、浴室的密封条、继电器开关、微电机、消毒柜、橱柜、文具、广告等行业。
2019-05-16
可以根据物料的颗粒大小设计成带导流棒、导流角铁的磁力架。 表磁最高可达12500高斯; 科学合理的设计可以提高磁场强度,更有效地清除细小或弱磁性铁杂质; 捕捉充分,抓牢度强。 可以根据客户生产线货配套设备情况,量身定做。
2019-03-27
磁铁不是人发明的,是天然的磁铁矿。古希腊人和中国人发现自然界中有种天然磁化的石头,称其为“吸铁石”。这种石头可以魔术般的吸起小块的铁片,而且在随意摆动后总是指向同一方向。 早期的航海者把这种磁铁作为其最早的指南针在海上来辨别方向。最早发现及使用磁铁的应该是中国人,也就是利用磁铁制作“指南针”,是中国四大发明之一。 经过千百年的发展,今天磁铁已成为我们生活中的强力材料。通过合成不同材料的合金可以达到与吸铁石相同的效果,而且还可以提高磁力。 在18世纪就出现了人造的磁铁,但制造更强磁性材料的过程却十分













